
国家三级甲等医院
成都中医药大学附属医院
健康热线:
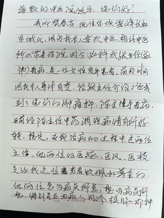
近日,我院收到一封饱含真情的患者感谢信,字里行间满是真挚谢意,既是对接诊医生精湛医技、精准诊疗的高度认可,更是对其高尚医德、优良医风的由衷点赞。



患者在信中写道,就诊期间曾因病情焦虑不安,是张炜医生及陈太全医生耐心细致地问诊查体、科学研判病情,凭借扎实专业功底与丰富临床经验,精准制定诊疗方案,用过硬技术有效缓解病痛,为康复打下坚实基础。治疗过程中,医生始终态度温和、换位思考,细致解答疑问、反复安抚情绪,用真诚与耐心消除患者顾虑。
从精准施治到人文关怀,从坚守岗位到默默奉献,这两位医生始终恪守医者初心,把患者健康放在首位,不推诿、不敷衍、重疗效、暖人心,用一言一行践行医者使命,让患者在就医过程中感受到安心、放心与暖心。
一封表扬信,是信任,更是鞭策。一直以来,我院始终坚持医德医风与医疗技术两手抓、两手硬,大力弘扬医者仁心,强化服务意识,提升诊疗水平,引导全体医护人员以德立身、以技行医,用心守护每一位患者健康。
今后,我院将以此为动力,持续精进医疗技术、优化服务品质、涵养优良医风,用更专业的技术、更温暖的服务、更严谨的作风,为群众健康保驾护航,传递医疗正能量。
Copyright©2026 www.gyszyy.cn All Rights Reserved 主办单位:广元市中医医院 网站访问总量:19196059 人次
医院地址:广元市利州区建设路133号 联系电话:院办公室:3222508 门诊办电话:3245973 急诊科:3225319 急救电话:3234567